leetcode 226. 翻转二叉树
题目描述
给你一棵二叉树的根节点 root ,翻转这棵二叉树,并返回其根节点。
示例

输入:root = [4,2,7,1,3,6,9]
输出:[4,7,2,9,6,3,1]
解题思路
逐层交换左右子节点
class Solution {
    public TreeNode invertTree(TreeNode root) {
        if (root == null ) return root;
        if (root.left == null && root.right == null) return root;
        TreeNode node = root.left;
        root.left = root.right;
        root.right = node;
        invertTree(root.left);
        invertTree(root.right);
        return root;
    }
}
// 迭代法
class Solution {
    public TreeNode invertTree(TreeNode root) {
        if(root == null) return root;
        Queue<TreeNode> que = new LinkedList<>();
        que.offer(root);
        while(!que.isEmpty()){
            int len = que.size();
            while(len-- > 0){
                TreeNode node = que.poll();
                if(node.left != null){
                    que.offer(node.left);
                }
                if(node.right != null){
                    que.offer(node.right);
                }
                TreeNode temp = node.left;
                node.left = node.right;
                node.right = temp;
            }
        }
        return root;
    }
}
leetcode 101. 对称二叉树
题目描述
给你一个二叉树的根节点 root , 检查它是否轴对称。
示例

输入:root = [1,2,2,3,4,4,3]
输出:true
解题思路
- 根节点不参与比较
 - 按照 中 - 外 - 内的顺序比较
 
class Solution {
    public boolean isSymmetric(TreeNode root) {
        return compare(root.left, root.right);
    }
    public boolean compare(TreeNode left, TreeNode right) {
        if (left == null && right != null) {
            return false;
        }
        if (left != null && right == null) {
            return false;
        }
        if (left == null && right == null) {
            return true;
        }
        if (left.val != right.val) {
            return false;
        }
        return compare(left.left, right.right) && compare(left.right, right.left);
    }
}
// 迭代法,使用双端队列,左子树的从队首插入,右子树的从队尾插入
class Solution {
    public boolean isSymmetric(TreeNode root) {
        Deque<TreeNode> deque = new LinkedList<>();
        deque.offerFirst(root.left);
        deque.offerLast(root.right);
        while(!deque.isEmpty()){
            TreeNode left = deque.pollFirst();
            TreeNode right = deque.pollLast();
            if(left == null && right == null){
                continue;
            }
            if(left == null || right == null || left.val != right.val)
                return false;
            // 顺序不能变
            deque.offerFirst(left.right);
            deque.offerFirst(left.left);
            deque.offerLast(right.left);
            deque.offerLast(right.right);
        }
        return true;
    }
LeetCode 104.二叉树的最大深度
题目描述
给定一个二叉树 root ,返回其最大深度。
二叉树的 最大深度 是指从根节点到最远叶子节点的最长路径上的节点数
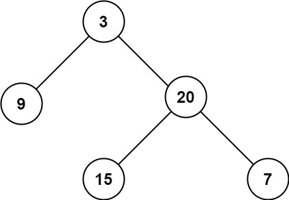
示例
输入:root = [3,9,20,null,null,15,7]
输出:3
题目链接
https://leetcode.cn/problems/maximum-depth-of-binary-tree/description/
解题思路
层序遍历, 增加 depth记录层数
class Solution {
    public int maxDepth(TreeNode root) {
        int res = 0;
        Queue<TreeNode> que = new LinkedList<>();
        if (root != null) que.offer(root);
        while (!que.isEmpty()) {
            int len = que.size();
            while (len-- > 0) {
                TreeNode node =que.poll();
                if (node.left != null) que.offer(node.left);
                if (node.right != null) que.offer(node.right);
            }
            res++;
        }
        return res;
    }
}
LeetCode 111.二叉树的最小深度
题目描述
给定一个二叉树,找出其最小深度。
最小深度是从根节点到最近叶子节点的最短路径上的节点数量。
**说明:**叶子节点是指没有子节点的节点。
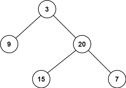
示例
输入:root = [3,9,20,null,null,15,7]
输出:2
题目链接
https://leetcode.cn/problems/minimum-depth-of-binary-tree/description/
解题思路
层序遍历, 只有当左右节点都为空时, 返回深度
class Solution {
    public int minDepth(TreeNode root) {
        int res = 0;
        Queue<TreeNode> que = new LinkedList<>();
        if (root != null ) que.offer(root);
        while (!que.isEmpty()) {
            int len = que.size();
            res++;
            while (len-- > 0) {
                TreeNode node = que.poll();
                if (node.left == null && node.right == null) return res;
                if (node.left != null) que.offer(node.left);
                if (node.right != null) que.offer(node.right);
            }
        }
        return res;
    }
}
递归法
class Solution {
    public int minDepth(TreeNode root) {
        if (root == null) return 0;
        int left = minDepth(root.left);
        int right = minDepth(root.right);
        return (left == 0 || right == 0) ? left + right + 1 : Math.min(left, right) + 1;
    }
}
                
            

评论