LeetCode 144.二叉树的前序遍历
题目描述
给你二叉树的根节点 root ,返回它节点值的 前序 遍历。
示例
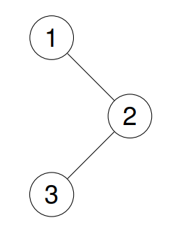
输入:root = [1,null,2,3]
输出:[1,2,3]
解释:
题目链接
https://leetcode.cn/problems/binary-tree-preorder-traversal/
解题思路
记住前序的输出顺序是根节点 - 左 - 右就不难解决, 迭代法需要使用栈来存储, 入栈顺序为根 - 右 - 左
递归法
class Solution {
    List<Integer> list = new ArrayList<>();
    public List<Integer> preorderTraversal(TreeNode root) {
        //前序,先输出节点,在输出左边然后是右边
        if(root == null)
            return list;
        list.add(root.val);
        preorderTraversal(root.left);
        preorderTraversal(root.right);
        return list;
    }
}
迭代法
class Solution {
    public List<Integer> preorderTraversal(TreeNode root) {
        List<Integer> res = new ArrayList<>();
        Stack<TreeNode> stack = new Stack<>();
        if (root == null) {
            return res;
        }
        stack.push(root);
        while (!stack.isEmpty()) {
            TreeNode node = stack.pop();
            res.add(node.val);
            if (node.right != null) {
                stack.push(node.right);
            }
            if (node.left != null) {
                stack.push(node.left);
            }
        }
        return res;
    }
}
LeetCode 145.二叉树的后序遍历
题目描述
给你一棵二叉树的根节点 root ,返回其节点值的 后序遍历 。
示例
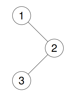
输入:root = [1,null,2,3]
输出:[3,2,1]
解释:
题目链接
https://leetcode.cn/problems/binary-tree-postorder-traversal/description/
解题思路
记住前序的输出顺序是左 - 右- 根节点 就不难解决, 迭代法需要使用栈来存储, 入栈顺序为左 - 右 - 根
递归法
class Solution {
    List<Integer> list = new ArrayList<>();
    public List<Integer> postorderTraversal(TreeNode root) {
        if(root == null)
            return list;
        postorderTraversal(root.left);
        postorderTraversal(root.right);
        list.add(root.val);
        return list;
    }
}
迭代法
class Solution {
    public List<Integer> postorderTraversal(TreeNode root) {
        List<Integer> result = new ArrayList<>();
        if (root == null){
            return result;
        }
        Stack<TreeNode> stack = new Stack<>();
        stack.push(root);
        while (!stack.isEmpty()){
            TreeNode node = stack.pop();
            result.add(node.val);
            if (node.left != null){
                stack.push(node.left);
            }
            if (node.right != null){
                stack.push(node.right);
            }
        }
        Collections.reverse(result);
        return result;
    }
}
LeetCode 94.二叉树的中序遍历
题目描述
给定一个二叉树的根节点 root ,返回 它的 中序 遍历 。
示例
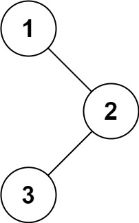
输入:root = [1,null,2,3]
输出:[1,3,2]
题目链接
https://leetcode.cn/problems/binary-tree-inorder-traversal/description/
解题思路
记住前序的输出顺序是左 - 根节点 - 右就不难解决, 迭代法略显麻烦, 但依旧采用栈来存储, 先需要往栈里存储所有的左节点, 直至为 null。然后出栈, 遍历右节点。
递归法
class Solution {
    List<Integer> list = new ArrayList<>();
    public List<Integer> inorderTraversal(TreeNode root) {
        if(root == null)
            return list;
        inorderTraversal(root.left);
        list.add(root.val);
        inorderTraversal(root.right);
        return list;
    }
}
迭代法
class Solution {
    public List<Integer> inorderTraversal(TreeNode root) {
        List<Integer> result = new ArrayList<>();  
        if(root == null)
            return result;
        Stack<TreeNode> stack = new Stack<>();
        TreeNode cur = root;
        while(cur != null || !stack.empty()){
            if(cur != null){
                stack.push(cur);
                cur = cur.left;
            }else{
                cur = stack.pop();
                result.add(cur.val);
                cur = cur.right;
            }
        }  
        return result;
    }
}
LeetCode 102.二叉树的层序遍历
题目描述
给你二叉树的根节点 root ,返回其节点值的 层序遍历 。 (即逐层地,从左到右访问所有节点)。
示例
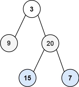
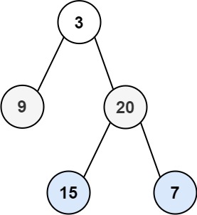
输入:root = [3,9,20,null,null,15,7]
输出:[[3],[9,20],[15,7]]
题目链接
https://leetcode.cn/problems/binary-tree-level-order-traversal/description/
解题思路
迭代法
借助队列存储每一层的节点
- 开始时放入根节点到队列中
 - 用 
len记录每层节点的长度, - 出队并赋值给 
node, 将node.val插入list表中,list表记录每层的节点值 - 判断 
node的左右节点是否为空, 不为空入队。 - 重复上面三步, 直至队列为空
 

class Solution {
    public List<List<Integer>> levelOrder(TreeNode root) {
        List<List<Integer>> res = new ArrayList<>();
        if (root == null) return res;
        Queue<TreeNode> que = new LinkedList<>();
        que.offer(root);
        while (!que.isEmpty()) {
            List<Integer> list = new ArrayList<>();
            int len = que.size();
            while (len-- > 0) {
                TreeNode node = que.poll();
                list.add(node.val);
                if (node.left != null) que.offer(node.left);
                if (node.right != null) que.offer(node.right);
            }
            res.add(list);
        }
        return res;
    }
}
LeetCode 107.二叉树的层次遍历 II
题目描述
给你二叉树的根节点 root ,返回其节点值 自底向上的层序遍历 。 (即按从叶子节点所在层到根节点所在的层,逐层从左向右遍历)
示例
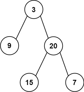
输入:root = [3,9,20,null,null,15,7]
输出:[[15,7],[9,20],[3]]
题目链接
https://leetcode.cn/problems/binary-tree-level-order-traversal-ii/description/
解题思路
反转上题的结果即可。有点愣了,没想到可以这么做
class Solution {
    public List<List<Integer>> levelOrderBottom(TreeNode root) {
        List<List<Integer>> res = new ArrayList<>();
        if (root == null) return res;
        Queue<TreeNode> que = new LinkedList<>();
        que.offer(root);
        while (!que.isEmpty()) {
            List<Integer> list = new ArrayList<>();
            int len = que.size();
            while (len-- > 0) {
                TreeNode node = que.poll();
                list.add(node.val);
                if (node.left != null) que.offer(node.left);
                if (node.right != null) que.offer(node.right);
            }
            res.add(list);
        }
        Collections.reverse(res);
        return res;
    }
}
LeetCode 199.二叉树的右视图
题目描述
给定一个二叉树的 根节点 root,想象自己站在它的右侧,按照从顶部到底部的顺序,返回从右侧所能看到的节点值。
示例
输入:root = [1,2,3,null,5,null,4]
输出:[1,3,4]
解释:
题目链接
https://leetcode.cn/problems/binary-tree-right-side-view/description/
解题思路
层序遍历, 然后取每层数组的最后一个。我这里用栈存每层节点,直接弹出栈顶就行了。
class Solution {
    public List<Integer> rightSideView(TreeNode root) {
        List<Integer> res = new ArrayList<>();
        if (root == null) return res;
        Queue<TreeNode> que = new LinkedList<>();
        que.offer(root);
        while (!que.isEmpty()) {
            Stack<Integer> stack = new Stack<>();
            int len = que.size();
            while (len-- > 0) {
                TreeNode node = que.poll();
                stack.push(node.val);
                if (node.left != null) que.offer(node.left);
                if (node.right != null) que.offer(node.right);
            }
            res.add(stack.pop());
        }
        return res;
    }
}
LeetCode 637.二叉树的层平均值
题目描述
给定一个非空二叉树的根节点 root , 以数组的形式返回每一层节点的平均值。与实际答案相差 10-5 以内的答案可以被接受。
示例
输入:root = [3,9,20,null,null,15,7]
输出:[3.00000,14.50000,11.00000]
解释:第 0 层的平均值为 3,第 1 层的平均值为 14.5,第 2 层的平均值为 11 。
因此返回 [3, 14.5, 11] 。
题目链接
https://leetcode.cn/problems/average-of-levels-in-binary-tree/description/
解题思路
层序遍历, 每层求平均值
class Solution {
    public List<Double> averageOfLevels(TreeNode root) {
        List<Double> res = new ArrayList<>();
        if (root == null) return res;
        Queue<TreeNode> que = new LinkedList<>();
        que.offer(root);
        while (!que.isEmpty()) {
            long sum = 0;
            int l = que.size();
            int len = que.size();
            while (len-- > 0) {
                TreeNode node = que.poll();
                sum += node.val;
                if (node.left != null) que.offer(node.left);
                if (node.right != null) que.offer(node.right);
            }
            res.add((1.0 * sum) / l);
        }
        return res;
    }
}
LeetCode 429.N叉树的层序遍历
题目描述
给定一个 N 叉树,返回其节点值的层序遍历。(即从左到右,逐层遍历)。
树的序列化输入是用层序遍历,每组子节点都由 null 值分隔(参见示例)。
示例
![]()
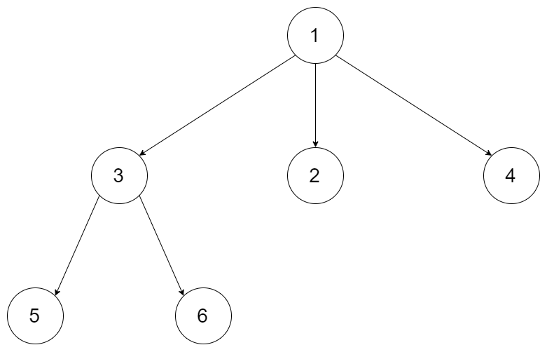
输入:root = [1,null,3,2,4,null,5,6]
输出:[[1],[3,2,4],[5,6]]
题目链接
https://leetcode.cn/problems/n-ary-tree-level-order-traversal/description/
解题思路
层序遍历中判断左右节点更改为一个循环, 判断所有的子节点是否为空
class Solution {
    public List<List<Integer>> levelOrder(Node root) {
        List<List<Integer>> res = new ArrayList<>();
        if (root == null) return res;
        Queue<Node> que = new LinkedList<>();
        que.offer(root);
        while (!que.isEmpty()) {
            List<Integer> list = new ArrayList<>();
            int len = que.size();
            while (len-- > 0) {
                Node node = que.poll();
                list.add(node.val);
                for (Node n : node.children) {
                    if (n != null) que.offer(n);
                }
            }
            res.add(list);
        }
        return res;
    }
}
LeetCode 515.在每个树行中找最大值
题目描述
给定一棵二叉树的根节点 root ,请找出该二叉树中每一层的最大值。
示例
![]()
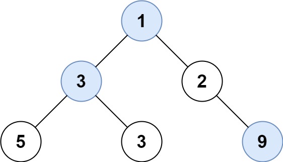
输入: root = [1,3,2,5,3,null,9]
输出: [1,3,9]
题目链接
https://leetcode.cn/problems/find-largest-value-in-each-tree-row/description/
解题思路
层序遍历, 设置哨兵,查找最大值
class Solution {
    public List<Integer> largestValues(TreeNode root) {
        List<Integer> res = new ArrayList<>();
        if (root == null) return res;
        Queue<TreeNode> que = new LinkedList<>();
        que.offer(root);
        while (!que.isEmpty()) {
            int Max = Integer.MIN_VALUE;
            int len = que.size();
            while (len-- > 0) {
                TreeNode node = que.poll();
                Max = Math.max(Max, node.val);
                if (node.left != null) que.offer(node.left);
                if (node.right != null) que.offer(node.right);
            }
            res.add(Max);
        }
        return res;
    }
}
LeetCode 116.填充每个节点的下一个右侧节点指针
题目描述
给定一个 完美二叉树 ,其所有叶子节点都在同一层,每个父节点都有两个子节点。二叉树定义如下:
struct Node {
int val;
Node *left;
Node *right;
Node *next;
}
填充它的每个 next 指针,让这个指针指向其下一个右侧节点。如果找不到下一个右侧节点,则将 next 指针设置为 NULL。
初始状态下,所有 next 指针都被设置为 NULL。
示例
![]()
输入:root = [1,2,3,4,5,6,7]
输出:[1,#,2,3,#,4,5,6,7,#]
解释:给定二叉树如图 A 所示,你的函数应该填充它的每个 next 指针,以指向其下一个右侧节点,如图 B 所示。序列化的输出按层序遍历排列,同一层节点由 next 指针连接,'#' 标志着每一层的结束。
题目链接
https://leetcode.cn/problems/populating-next-right-pointers-in-each-node/description/
解题思路
层序遍历, 用一个队列充当辅助队列记录每层节点, 每次出队判断是否还有要出的节点。没有就指向 null,否则指向队列首元素
class Solution {
    public Node connect(Node root) {
        Node cur = root;
        if (root == null) return root;
        Queue<Node> que = new LinkedList<>();
        que.offer(cur);
        while (!que.isEmpty()) {
            int len = que.size();
            while (len-- > 0) {
                Node node = que.poll();
                node.next = len == 0 ? null : que.peek();
                if (node.left != null) que.offer(node.left);
                if (node.right != null) que.offer(node.right);
            }
        }
        return root;
    }
}
LeetCode 117.填充每个节点的下一个右侧节点指针II
题目描述
给定一个二叉树:
struct Node {
int val;
Node *left;
Node *right;
Node *next;
}
填充它的每个 next 指针,让这个指针指向其下一个右侧节点。如果找不到下一个右侧节点,则将 next 指针设置为 NULL。
初始状态下,所有 next 指针都被设置为 NULL。
示例
![]()
输入:root = [1,2,3,4,5,null,7]
输出:[1,#,2,3,#,4,5,7,#]
解释:给定二叉树如图 A 所示,你的函数应该填充它的每个 next 指针,以指向其下一个右侧节点,如图 B 所示。序列化输出按层序遍历顺序(由 next 指针连接),'#' 表示每层的末尾。
题目链接
https://leetcode.cn/problems/populating-next-right-pointers-in-each-node-ii/description/
解题思路
同leetcode116
class Solution {
    public Node connect(Node root) {
        Node cur = root;
        if (root == null) return root;
        Queue<Node> que = new LinkedList<>();
        que.offer(cur);
        while (!que.isEmpty()) {
            int len = que.size();
            while (len-- > 0) {
                Node node = que.poll();
                node.next = len == 0 ? null : que.peek();
                if (node.left != null) que.offer(node.left);
                if (node.right != null) que.offer(node.right);
            }
        }
        return root;
    }
}
LeetCode 104.二叉树的最大深度
题目描述
给定一个二叉树 root ,返回其最大深度。
二叉树的 最大深度 是指从根节点到最远叶子节点的最长路径上的节点数
示例
输入:root = [3,9,20,null,null,15,7]
输出:3
题目链接
https://leetcode.cn/problems/maximum-depth-of-binary-tree/description/
解题思路
层序遍历, 增加 depth记录层数
class Solution {
    public int maxDepth(TreeNode root) {
        int res = 0;
        Queue<TreeNode> que = new LinkedList<>();
        if (root != null) que.offer(root);
        while (!que.isEmpty()) {
            int len = que.size();
            while (len-- > 0) {
                TreeNode node =que.poll();
                if (node.left != null) que.offer(node.left);
                if (node.right != null) que.offer(node.right);
            }
            res++;
        }
        return res;
    }
}
LeetCode 111.二叉树的最小深度
题目描述
给定一个二叉树,找出其最小深度。
最小深度是从根节点到最近叶子节点的最短路径上的节点数量。
**说明:**叶子节点是指没有子节点的节点。
示例
输入:root = [3,9,20,null,null,15,7]
输出:2
题目链接
https://leetcode.cn/problems/minimum-depth-of-binary-tree/description/
解题思路
层序遍历, 只有当左右节点都为空时, 返回深度
class Solution {
    public int minDepth(TreeNode root) {
        int res = 0;
        Queue<TreeNode> que = new LinkedList<>();
        if (root != null ) que.offer(root);
        while (!que.isEmpty()) {
            int len = que.size();
            res++;
            while (len-- > 0) {
                TreeNode node = que.poll();
                if (node.left == null && node.right == null) return res;
                if (node.left != null) que.offer(node.left);
                if (node.right != null) que.offer(node.right);
            }
        }
        return res;
    }
}
递归法
class Solution {
    public int minDepth(TreeNode root) {
        if (root == null) return 0;
        int left = minDepth(root.left);
        int right = minDepth(root.right);
        return (left == 0 || right == 0) ? left + right + 1 : Math.min(left, right) + 1;
    }
}
                








评论